Försterowski Rezonansowy Transfer Energii
Försterowski rezonansowy transfer energii (ang. Förster resonant energy trasnfer, FRET) to zjawisko transferu energii oparte na sprzężeniu momentów dipolowych dwóch fluorescencyjnych indywiduów chemicznych, które znalazło szerokie zastosowanie do badania interakcji pomiędzy nimi tj. pomiędzy donorem (D) oraz akceptorem (A). Energia zaabsorbowana przez molekuły donora może zostać przekazana niepromieniście do molekuł akceptora po spełnieniu trzech podstawowych warunków:
-
Widmo emisji D pokrywa się z widem absorpcji A.
-
Donor i akceptor znajdują się w bliskiej odległości (zazwyczaj <10 nm).
- Molekuły donora oraz akceptora są odpowiednio ułożone w przestrzeni.
Zjawisko to, określane niekiedy jako „linijka spectroskopowa”, stanowi podstawę projektowania licznych biosensorów służących do badania np. konformacji białek, aktywności enzymów, hybrydyzacji DNA czy reakcji antygen–przeciwciało. Metody te mogą być wykorzystywane zarówno w diagnostyce medycznej, jak i w badaniach podstawowych w celu zrozumienia procesów zachodzących w żywych komórkach.

Rys. 1. Nakładaniae się widma emisji donora z widmem absorpcji akceptora.

Rys. 2. Mechanizm FRET
Chociaż do detekcji FRET powszechnie stosuje się fluorofory organiczne (barwniki, białka fluorescencyjne itp.) jako D lub A, takie znaczniki mają liczne ograniczenia, m.in.: fotowybielanie D i A, nakładanie się widm emisji lub wzbudzenia molekuł D/A utrudniające detekcję (nakładanie się widm emisji) lub prowadzjące do bezpośredniego wzbudzenia akceptora promieniowaniem wzbudzajacym (nakładanie się widm wzbudzenia), niski stosunek sygnału do tła (spowodowany wysoką energią promieniowania wzbudzającego, co może skutkować wzbudzeniem innych biomolekuł obecnych w próbce), czy krótkie czasy życia poziomów wzbudzonych barwników organicznych.
Nanokryształy konwertujące energię w górę (ang. upconverting nanopartciles, UCNPs) pozwalają obejść wiele z tych ograniczeń, wprowadzając jednak nowe wyzwania, takie jak: detekcja wielu D (w jednym nanokrysztale znajdują się setki, lub nawet tysiące jonów donora) i wielu A jednocześnie ), długie czasy narastania fotoluminescencji D oraz ciągłą repopulację poziomów wzbudzonych jonów D w procesie konwersji energii w górę. Naszym celem jest badanie, zrozumienie i zastosowanie takich nowych materiałów i metod detekcji biologicznej opartych na UCNPs.
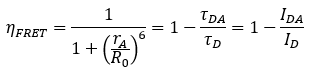
Wydajność zjawiska FRET można zostać obliczona na podstawie poniższego równania:

Gdzie ΙD i ΙDA to zcałkowana intensywność emisji donora, bez akceptora i w jego obecności odpowiednio. Podobnie τD i τDA to czasy życia poziomu wzbudzonego donora, bez akceptora i w jego obecności.
Ze względu na odwrotną zależność od szóstej potęgi odległości, zwiększenie dystansu między donorem a akceptorem może prowadzić do obniżenia wydajności FRET. Aby zmierzyć tę wartość eksperymentalnie, można określić czas życia poziomów wzbudzonych donora, spadek intensywności luminescencji donora lub fluorescencję akceptora (jeżeli akceptor jest fluorescencyjny).
Nasze badania koncentrują się na wykorzystaniu nanokryształów domieszkowanych jonami lantanowców, a w szczególności nanokryształów konwertujących energię w górę jako donorów energii w sensorach opartych na FRET. Mają one średnicę rzędu kilkudziesięciu nanometrów. Wykazują wyjątkową zdolność do generowania widzialnej lub daleko-czerwonej luminescencji pod wzbudzeniem w podczerwieni (NIR), co daje im unikalne zalety jako donory FRET. Przykładem takich związków jest NaYF4:Yb3+, Er3+.
Pierwszą ich zaletą jest wysoka fotostabilność, wynikająca z obecności jonów Ln3+, ponieważ elektrony powłoki 4f są osłonięte przez powłoki 5s i 5p przed wpływem środowiska chemicznego. Kolejne korzyści to wąskie pasma emisji oraz długie czasy zaniku luminescencji. Długi czas życia luminescencji wynika z faktu, że przejścia wewnątrz powłoki f są zabronione przez regułę Laporte’a. UCNPs mogą emitować światło ultrafioletowe, widzialne lub bliskiej podczerwieni po absorpcji światła NIR.
Projektujemy i badamy również wirtualne modele nanokryształów (VNP). Nanokryształy typu rdzeń-płaszcz mają wewnętrzny rdzeń oraz zewnętrzny płaszcz domieszkowany w różny sposób, celem zwiększenia wydajności FRET. Nasze badania pozwalają zrozumieć rolę transferu energii i migracji energii między jonami lantanowców oraz wpływ architektury UCNP typu rdzeń-płaszcz na ich wydajność jako donorów FRET dla organicznych barwników. Strukturę i diagram energetyczny syntezowanych nanocząstek rdzeń- płaszcz przedstawiono na poniższym rysunku (Rys. 3).

Rys. 3. Właściwości strukturalne zsyntezowanych nanomateriałów o architekturze rdzeń-płaszcz różniące się umiejscowieniem jonów lantanowców wraz z diagramami energetycznymi. Obrazy a) TEM, b) TEM-EDS, c) TEM, d) dystrybucja rozmiaru nanokryształów o architekturze NaYF4:Yb@NaYF4:Er. Schemat zsyntezowanych UCNPs: e) niedomieszkowany rdzeń - aktywny płaszcz (NaYF4@NaYF4:2%Er), f) uczulający rdzeń - aktywny płaszcz (NaYF4:20%Yb@NaYF4:2%Er), g) uczulający rdzeń - aktywny płaszcz (NaYF4:20%Yb@NaYF4:20%Yb, x%Er, gdzie x = 0.1, 0.2, 0.5, 2, 3, 4, and 5%); h) diagram energetyczny konwersji energii w górę pomiędzy jonami Yb3+-Er3+ oraz bezpromienistego transferu energii z jonów Er3+ do przyłączonych do powierzchni molekuł barwnika - różu bengalskiego.
Odkryliśmy interesujące zależności, które potwierdzają, że UCNPs o architekturze rdzeń-płaszcz, w której jony donorów umieszczone są w płaszczu są korzystne celem osiągnięcia wysokiej czułości FRET w porównaniu do konwencjonalnych UCNP, w których jony donorów są równomiernie rozmieszczone w całej objętości. Ponadto wykazaliśmy, że różne drogi wzbudzenia mogą odgrywać rolę pasożytniczą w detekcji FRET opartej na czasie zaniku luminescencji. Energia zaabsorbowana przez jony Yb3+ i przekazywana do jonów Er3+ może ciągle repopulować poziomy wzbudzone jonów Er3+ skutkując mniejszą podatnością czasów zaniku luminescencji jonów donora w detekcji FRET.
Dodatkowo badaliśmy FRET między nanokryształami konwertującymi energię w górę jako donorami a kropkami kwantowymi jako akceptorami. Wykazaliśmy, że ten układ posiada kluczowe cechy niezbędne do zastosowań FRET. Należą do nich duża nakładania widm emisji donora i absorpcji akceptora oraz zadowalająca wydajność kwantowa donora. Zarówno emisja akceptora, jak i spadek czasu życia luminescencji donora zostały potwierdzone eksperymentalnie i były w dobrej zgodności z teoretyczną wartością odległości Förstera.
W pracy poświęconej wpływowi stężenia jonów Tm3+ na efektywność FRET porównaliśmy dwa klasyczne podejścia do oceny wydajności FRET: wygaszanie emisji jonów donora oraz skracanie czasów życia poziomów wzbudzonych jonów donora w obecności akceptora. Poprzez bezpośrednie przyłączenie barwników do powierzchni nanokryształów uzyskaliśmy wysoką wydajność transferu energii, wynoszącą odpowiednio około 90% i 40% dla barwnika ATTO 488. Jednakże podejścia te dają różne wartości liczbowe ze względu na złożony charakter procesów konwersji energii w górę, migrację energii w sieci Yb3+/Tm3+ oraz repopulację poziomów wzbudzonych jonów Tm3+, zatem nie mogą być interpretowane niezależnie. Wykazaliśmy, że najczulszą miarą FRET okazała się detekcja ratiometryczna, oparta na stosunku intensywności emisji akceptora do intensywności emisji donora (w obecności akceptora) w ściśle określonych przedziałach spektralnych (500–614 nm i 435–485 nm). Choć metoda ta nie dostarcza szczegółowego opisu mechanizmu FRET, pozwoliła nam osiągnąć najniższe limity detekcji. Dodatkowo, wykorzystując szeroką przerwę spektralną pomiędzy pasmami niebieskiej i czerwonej emisji jonów Tm3+ zaproponowaliśmy prosty system analizy multipleksowej, tj. takiej dzięki której możliwe jest rozróżnianie czterach barwników z serii ATTO przy użyciu zaledwie dwóch pasmowoprzestowych filtrów optycznych. Podejście to potwierdziło potencjał nanokryształów konwertujących energię w górę domieszkowanych jonami Tm3+ do budowy wielokolorowych, wysoce czułych platform biosensorycznych opartych na FRET.
Autorzy: Grzegorz Bękarski, Julia Wnętrzak, Agata Kotulska & Artur Bednarkiewicz
Literatura:
[1] A. Pilch-Wróbel, A. M. Kotulska, S. Lahtinen, T. Soukka, A. Bednarkiewicz, Engineering the compositional architecture of core‐shell upconverting lanthanide‐doped nanoparticles for optimal luminescent donor in resonance energy transfer: the effects of energy migration and storage, Small 18.18 (2022): 2200464
[2] A. M. Kotulska, A. Pilch-Wróbel, S. Lahtinen, T. Soukka, A. Bednarkiewicz, Upconversion FRET quantitation: the role of donor photoexcitation mode and compositional architecture on the decay and intensity based responses, Light: Science & Applications 11.1 (2022): 256
[3] A. Bednarkiewicz, M. Nyk, M. Samoc, W. Strek, Up-conversion FRET from Er3+/Yb3+:NaYF4 Nanophosphor to CdSe Quantum Dots, Journal of Phyical Chemistry C, 114.41 (2010): 17535-17541
[4] G. Bękarski, K. Prorok, F. Stetina, M. Misiak, H. H. Gorris, A. Bednarkiewicz, Multicolor Upconversion Förster Resonant Energy Transfer Using Optimized Yb@ YbTm Core@ Shell Nanoparticles, ACS nano, 19(48), (2025): 41110-41120